MAPE: El Secreto para Predecir Mejor


En el mundo empresarial, uno de los mayores retos es anticiparse al futuro con precisión. ¿Cuánta demanda habrá el próximo mes? ¿Cuánto inventario se necesita? Estas preguntas son comunes, y la clave para resolverlas está en el MAPE (Mean Absolute Percentage Error), un indicador esencial para medir la precisión de los pronósticos.


¿Qué es el MAPE?

El MAPE, ó Error Porcentual Absoluto Medio, es una métrica que mide el error promedio de un pronóstico en relación con los valores reales, expresándose como un porcentaje. Gracias a su simplicidad y claridad, es ampliamente utilizado en diversas industrias para evaluar y mejorar los modelos de previsión.

¿Por qué es importante?

Entender el MAPE y aplicarlo correctamente puede marcar la diferencia entre decisiones exitosas y costosas en un negocio. Aquí algunas de sus ventajas:

  • Precisión en la demanda: Permite determinar qué tan cercanos están los pronósticos a la demanda real, minimizando sorpresas.
  • Mejoras continuas: Identifica áreas de mejora en los modelos estadísticos, ayudando a ajustar estrategias.
  • Optimización del inventario: Ayuda a mantener niveles adecuados de inventario, evitando tanto excesos como faltantes.

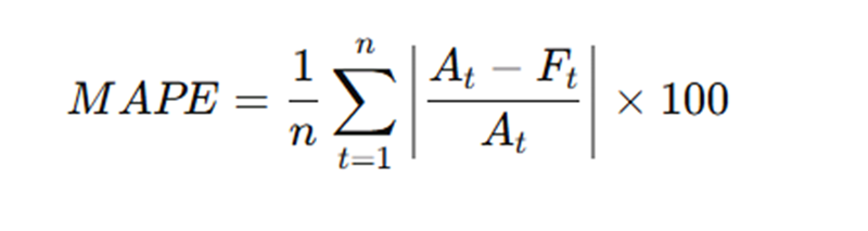
¿Cómo se calcula el MAPE?

La fórmula del MAPE es sencilla:


Donde:

  • A Venta real
  • F Pronóstico
  • n Número de períodos analizados

En pocas palabras, el MAPE mide el porcentaje promedio de error entre lo pronosticado y lo real, mostrando qué tan confiable es un modelo.


Benchmarks por industria

No todas las industrias manejan el mismo nivel de error aceptable. Aquí algunos ejemplos:

  • Retail: Menos del 20%
  • Manufactura: Entre 5% y 15%
  • Farmacéutica: Entre 5% y 10%
  • Automotriz: Entre 10% y 20%

Estos valores funcionan como referencia para evaluar si los pronósticos están dentro de un rango aceptable o requieren ajustes significativos.


El MAPE no es solo una fórmula; es una herramienta estratégica que le permite a las empresas tomar decisiones basadas en datos reales y confiables. Aplicarlo correctamente puede ser la diferencia entre un negocio que responde ágilmente a los cambios del mercado y uno que enfrenta pérdidas por una mala planificación.

¿Quieres mejorar la precisión de tus pronósticos? Empieza por calcular tu MAPE y ajusta tus modelos para acercarte al éxito.